作为无监督学习并可将推理能力蒸馏到小模型上的大模型,DeepSeek-R1的突破使 AI 计算从“重训练”向“重推理”方向转变,大幅节约算力成本,或改变此前“高投入、高算力”的发展路线,为 AI 的大规模应用创造了有利条件。根据Grok创始人的理论,过去60年,每10年计算成本降低约1000 倍,但人们的购买量增加了10万倍,总支出反而增长了100倍。这种情况将极有可能在2025年的AI领域发生。
国内上下游产业链的整合则更为深入,华为昇腾云、阿里云等平台快速集成DeepSeek,国产算力芯片(如昇腾、海光)与服务器需求激增,带动液冷技术、光模块等产业链升级;摩尔线程实现对DeepSeek蒸馏模型推理服务的部署;联想集团与沐曦发布采用DeepSeek大模型的一体机方案等。这些频繁的举动预示着未来 AI 发展将更加注重高效协同、开源共赢和产业落地,国产芯片和算力也将大有可为。
今年资本市场对 AI 产业的投资逻辑正发生重大转变。一方面,投资人开始质疑巨额AI投资回报的合理性;另一方面,过去由于 AI 计算资源昂贵,企业投入回报周期较长,AI 领域的投资较为谨慎,而随着DeepSeek 等新兴技术的突破,使得大模型的开发和应用变得更加经济可行,促使投资者重新评估 AI 的商业价值,推动资金在AI新方向上涌入。
英伟达(NVIDIA)在此次大会上发布了NVIDIA Cosmos,其核心是基础世界模型(World Foundation Model,WFM)。不同于传统的数据采集方法,WFM基于2000万小时的真实世界交互数据,涵盖人类操作、环境、机器人系统和自动驾驶等场景,通过深度学习训练和高精度仿真测试,WFM能够生成逼近真实世界的视频模型,帮助开发者加速构建更加智能化的机器人和自动驾驶系统。此外,开发者还可以利用NVIDIA Omniverse 平台创建符合特定训练需求的3D仿真环境,并与 Cosmos 结合,以优化模型调试和强化学习过程,从而提高机器人或自动驾驶系统在现实场景中的决策准确性和适应能力。
其中,英伟达也专门针对人形机器人推出NVIDIA Isaac GR00T Blueprint,它可帮助开发者生成海量的合成运动数据,用于通用机器人基础模型和数据流水线,以便通过模仿学习来训练人形机器人。英伟达创始人兼CEO黄仁勋在CES2025上表示,“通用机器人领域的'ChatGPT时刻'即将到来”。
AI进化的关键之年:数据猿解读2025年人工智能发展趋势
冬去春来,万象更新,各行各业对2025年都充满了新的憧憬。相对其他行业,人工智能行业早春的号角似乎来得更快,也更为响亮。从开年第六天CES人工智能相关项目的集结,到OpenAI o3-mini的正式发布,可谓一波未平一波又起。然而这都比不上Deepseek这家公司带给世人的震撼。如果说2022年11月30日横空出世的ChatGPT对全球AI的发展具有划时代里程碑意义,那么2025年1月20日的Deepseek R1发布具有同样价值,为已如火如荼的AI行业再添上一团熊熊烈火。
这个开局预示着2025年将是人工智能发展的关键转折之年。Deepseek的突破不仅展现了中国在AI领域的实力,更重要的是,它带来算力效率革命性的提升,让AI大模型的开发和部署成本降低了数个量级,或改变现有大厂的竞争格局。
随着大模型竞争的逐步升级,势必将已经产生爆发式增长的AI应用推向新的高度,人工智能正从“工具”演变为“数字劳动力”,全面渗透到日常工作的各个环节,AI也将单独成为一部分人的收入来源。同时,AI应用正逐步落地硬件,端侧AI设备将加速进入消费者的视野,使AI技术更贴近人们的娱乐与日常生活;而深度融合AI的人形机器人,将更加精准地理解和适应物理世界的规律。
接下来,数据猿将对2025年人工智能的发展趋势进行阶段性展望,希望能为读者提供有价值的思考,共同探索这一充满无限可能的新世界。
● 趋势一:DeepSeek取得历史性突破,带动国产大模型加速崛起
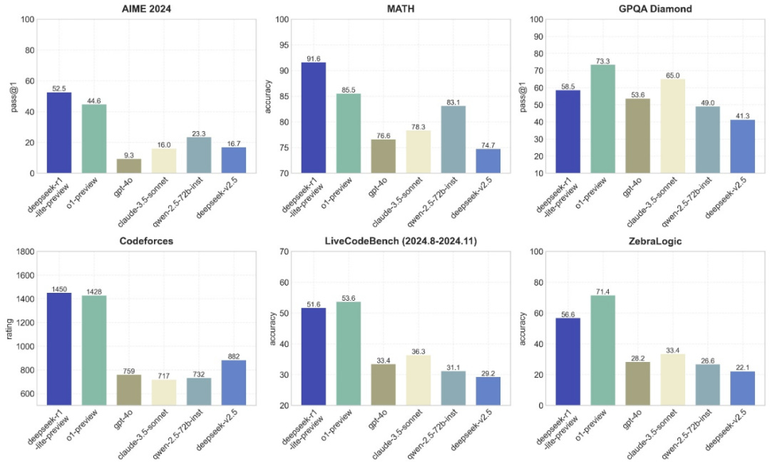
开年不到一个月,中国AI产业在2025年就迎来标志性事件——DeepSeek V3与R1系列模型的全球突围。该模型通过强化学习、知识蒸馏等技术,得益于MoE(混合专家模型)架构创新和MLA(多投潜注意力)算法优化,Deepseek R1在多项基准测试中与OpenAI O1相当,而训练成本仅为后者的1/70,定价甚至只有后者的3%。到1月底,DeepSeek APP在全球140个市场的App Store应用商店下载榜上排名第一。
DeepSeek在关键评分指标与竞品的对比,来源:DeepSeek
作为无监督学习并可将推理能力蒸馏到小模型上的大模型,DeepSeek-R1的突破使 AI 计算从“重训练”向“重推理”方向转变,大幅节约算力成本,或改变此前“高投入、高算力”的发展路线,为 AI 的大规模应用创造了有利条件。根据Grok创始人的理论,过去60年,每10年计算成本降低约1000 倍,但人们的购买量增加了10万倍,总支出反而增长了100倍。这种情况将极有可能在2025年的AI领域发生。
另具有重要意义的是,DeepSeek的崛起不仅打破了中国对西方闭源模型的依赖,推动中国在全球AI治理中的话语权提升,也为其他国产大模型的发展提供了有效范式。
来源:DeepSeek官网
DeepSeek的光芒部分掩盖了媒体对其他国产大模型的关注度,在这里我们将这些国产大模型的进展曝光出来。今年的第一个月,字节跳动旗下的豆包大模型Doubao-1.5-pro、阿里通义千问Qwen2.5-1M、VL和Max、智谱发布的GLM-Zero-Preview、Kimi发布了k1.5多模态思考模型等,DeepSeek自身也拓展到多模态大模型,可以说,国产大模型在推理效率与多模态融合上已经崭露头角。不仅如此,新发布国产大模型在测评指标上也表现不俗,其中豆包综合得分优于 GPT-4o、Claude 3.5 Sonnet;Qwen2.5-Max在多项基准测试中超过DeepSeek V3,DeepSeek Janus-Pro在部分指标已经超越了DALL-E3和Stable Diffusion等热门模型。
从目前来看,国产大模型已经在“开源+低成本+垂直场景”上“摸到规律”,这一趋势将在今后几个月延续,预计还将有更多的国产大模型产生飞跃式的发展,进入全球第一梯队。
● 趋势二:全球算力革命、竞争与投资变革
DeepSeek 的影响力已超越技术本身,业已成为AI 产业生态升级的核心动力,从算力芯片、云计算到终端设备,推动全球相关产业迈向高效、低成本、广泛落地的新阶段,或改变现有上下游厂商的格局,如DeepSeek R1发布后,英伟达、博通、甲骨文等产业链股票应声下跌,此后国际顶级厂商,如英伟达、微软、亚马逊云科技纷纷表示,将DeepSeek纳入它们的体系。
国内上下游产业链的整合则更为深入,华为昇腾云、阿里云等平台快速集成DeepSeek,国产算力芯片(如昇腾、海光)与服务器需求激增,带动液冷技术、光模块等产业链升级;摩尔线程实现对DeepSeek蒸馏模型推理服务的部署;联想集团与沐曦发布采用DeepSeek大模型的一体机方案等。这些频繁的举动预示着未来 AI 发展将更加注重高效协同、开源共赢和产业落地,国产芯片和算力也将大有可为。
来源:Statista、DocsBot. https://www.statista.com/chart/33839/prices-for-processing-one-million-input-output-tokens-on-different-ai-models/
今年资本市场对 AI 产业的投资逻辑正发生重大转变。一方面,投资人开始质疑巨额AI投资回报的合理性;另一方面,过去由于 AI 计算资源昂贵,企业投入回报周期较长,AI 领域的投资较为谨慎,而随着DeepSeek 等新兴技术的突破,使得大模型的开发和应用变得更加经济可行,促使投资者重新评估 AI 的商业价值,推动资金在AI新方向上涌入。
不过值得注意的是,7天用户过亿后的DeepSeek频繁出现“服务器繁忙,请稍后再试。”的回答,而且其在2月初也暂停了API服务充值,引发人们对DeepSeek算力的担忧。
因此我们也不难理解大厂和VC依然加大投资力度,争夺基础设施的制高点,2025年仍是展开“AI军备竞赛”之年。Meta CEO扎克伯格表示,Meta今年将投资600至650亿美元用于AI建设;微软计划在2025财年投入800亿美元用于建设人工智能数据中心;Google(Alphabet)首席执行官桑达尔·皮查伊 (Sundar Pichai) 表示计划在2025年投入750亿美元用于AI相关的资本支出;亚马逊在AI的投入也将高于2024年的750亿美元。
可以预见的是,今年国内外云厂商恐怕是DeepSeek转折机遇过后的稳定受益者。民生证券研报指出,DeepSeek给予了云服务厂商低门槛部署“杀手级”应用机会,由于云厂商拥有充足的算力“弹药”与用户覆盖能力,是DeepSeek能力的“放大器”,能弥补DeepSeek自身算力紧缺与大规模用户服务部署难题,云服务厂商市场需求有望迎来广阔机遇,拥有海量GPU资源边缘侧云服务厂商或是最佳受益者。
此外,从国家层面,美国总统特朗普宣布一项大规模人工智能基础设施建设项目“星际之门(The Stargate Project)”启动,初期投资1000亿美元,计划到2029年增至5000亿美元。该计划旨在建设覆盖全美的大规模数据中心、开发先进AI模型,并建立支持下一代AI技术的生态系统,该项目有“21世纪曼哈顿计划”之称。据悉,今年中国、欧盟、英国、日本等国家或地区也在加大对人工智能的投入。
● 趋势三:AI应用向纵深进发,Agent成为数字劳动力开始接替人类员工
2024年下半年爆发的AI应用将在2025年加速前行。如前所述,“低成本、高性能”的核心优势将为AI应用注入强大动力,不仅全面提升现有AI应用,如办公工具、陪伴、广告、教育等方面的技术水平,还将推动像医疗健康、金融等复杂领域的AI化进程。
而今年在知识蒸馏后的小模型的加持下,恐怕最受人们期待的应用方向当属AI Agent(AI代理或智能体)。过去几年,我们看到越来越多的AI Agent涌现,如微软于Ignite2024上宣布有超过10万家公司利用Copilot Studio创建AI Agent;另一家出众的公司是Salesforce,凭借植入CRM平台的Agentforce及其推理引擎,从专业水平和推理能力两方面提升AI客服的水平。
正如人工智能专家吴恩达教授定义AI Agent的目标是,Reflection(反馈)、Tool Use(工具使用)、Planning(规划)、Multiagent Collaboration(多智能体合作),到今年底人们谈起Agent将会较少称之为“Copilot(副手)”或者工具,AI Agent逐渐成为能够独立服务的“数字劳动力”。过去的智能客服系统本质上是数据库检索,随着AI化的进程,正越来越接近真人劳动力,而且从广度上能够超越“客服”的单一角色,而延展到企业管理的方方面面,如人力资源、IT运维、市场营销、财务管理、供应链优化等环节,或者根据行业细分,如教育、金融、医疗,根据微软CEO纳德拉的观点,现有的SaaS将被AI Agent全面替代,亦会同步加速企业的云化过程。
来源:ARK Invest
在此背景下,一方面老牌企业服务厂商,像之前提到的Salesforce、ServiceNow、Twillio、Autodesk,它们凭借与企业内部流程和数据的深度绑定,触及OpenAI、Anthropic等大模型的受限领域,根据battary ventures的研究,以Twillio为例,按美国1600万客服,每个客服年薪1.2万美元计算,每年工资2000 亿美元,而采用AI Agent只需40亿美元,ARR有50倍的提升。
来源:Battery Ventures
另一方面,对于一些具有AI能力的公司,不能错过抢占SaaS乃至传统软件市场的好机会。OpenAI在今年前两个月接连发布了两个AI Agent:Operator能够自动完成如预约餐厅、预订航班和住宿、下单购物等多种日常任务;Deep Research则能够根据给定的研究主题,运用推理能力,在互联网上搜索、解读和分析海量的信息,最终生成一份具有专业水准的完整报告。
而对于SaaS布局相对薄弱的国内市场而言,面对不断增加的企业级AI应用需求,加之DeepSeek推动“算力平权”和国产大模型的崛起,利用AI Agent是2025年弯道超车的良机。根据观研报告网的统计,中国AI Agent市场在2023-2028 年的年复合增长率达72.7%。目前像字节的 Coze Agent 平台、智谱的GLM系列Agent、百度千帆 AgentBuilder 智能体开发工具已经有一些亮眼的表现。
全球知名的AI Agent正在接管传统SaaS,来源:wing
去年大放异彩的AI广告公司Applovin在今年继续发展AI广告的同时将进军电商市场,该公司创始人Adam Foroughi表示,正在积极扩展在电商广告领域的影响力与新增长,将AI推荐引擎在游戏广告成功经验复制到新的领域。根据GroupM和ECDB的估算,与刚突破1万亿美元的广告市场规模相比较,电商市场规模是其4.7倍。根据ARK的报告,到2030年有72%的用户数字钱包都被植入具有AI能力的购物代理(Purchasing Agents),将极大改变现有电商的购物流程。由于这一领域尚未跑出独角兽,面对机遇,不止Applovin,一些实力公司像Shopify、Perplexity、亚马逊等,都在积极布局这一领域。
AI医疗健康领域的应用在2025年也备受关注,如基于AI Agent的Hippocratic AI,涵盖术前管理、慢性病随访、健康指导等25种医疗场景,获得1.41亿美元(约10亿元人民币)B轮融资,估值达16.4亿美元,跻身独角兽行列。
有美国国会山“股神”之称的Nancy Pelosi和“木头姐”凯西·伍德(Cathie Wood)2025年均押宝AI医疗健康公司Tempus AI,其致力于通过人工智能和大数据推动精准医疗发展,采用机器学习算法分析基因组、临床和影像数据,结合海量医学数据资源与上千家合作机构的知识库,使得预测治疗方案的准确率达85%以上,目前美国一半以上的肿瘤学家都在使用Tempus AI的技术,而且这家公司2024年收入状况表现良好,根据最新投资者报告,预计2025年预计总收入达到12.3亿美元,同比增长超75%,此蕴含着AI在推动医疗健康领域的巨大潜力。
国内也有类似的表现,从2025年国内已披露的融资及IPO状况来看,相对其他产业,AI与医疗健康结合的项目正受到投资人的热捧。
数据来源:烯牛数据、极新
● 趋势四:端侧AI元年,消费者将会拥有带AI功能的硬件产品
在大模型和AI应用快速发展的基础上,AI硬件(手机、可穿戴、玩具等)有望加速落地,而AI+快速发展也将反哺算力,特别是推理算力需求。正如杰文斯悖论指出的,当技术进步或效率提升提高了资源的使用效率时,该资源的消耗量反而可能增加,而不是减少,比如在蒸汽机时代,煤炭价格下降,但人们使用了更多的煤炭。ARK Invest报告则从另一角度说明,从2025年开始,大多数消费者硬件将逐渐增加AI含量,直到近乎100%具备AI功能。
来源:ARK Invest
2024年开始流行的一个词“端侧AI”也将在今年继续受到业内热议,“端侧AI”的含义是指在终端设备上直接运行和处理人工智能算法,无需将数据发送到云端或服务器进行处理。相对去年萌芽阶段,今年的端侧AI像“AIPC”、“AI手机”、“智能眼镜”、“AI耳机”、“AI玩具”、“AI学习机”等硬件产品将会“八仙过海,各显神通”。
在端侧AI技术持续赋能终端设备的行业浪潮中,科技巨头苹果的产品布局尤为引人注目。苹果2025年最重要的新产品iPhone 17将在今年下半年面世,除此以外,Apple Watch、新的电脑可能同步发布,以及或于今秋发布的苹果智能眼镜也受到关注,这些产品或将进一步提升AI方面的用户体验。
另外,我们可以期待今年4月,搭载Apple Intelligence功能的iphon16中文版将与法语、德语、意大利语、葡萄牙语、日语、韩语、新加坡和印度本地化英语版本等一道上线。DeepSeek的成功或许给苹果一些启发,一方面对于中国市场不用与OpenAI绑定,现在国产大模型就是一个很好的替代选择;另一方面,苹果自身根据不同市场开发本地大模型与当地版本的GPU、硬件适配,也符合端侧AI的理念。
当苹果试探以本地化AI生态撬动全球市场时,AI智能眼镜已悄然突破用户接受度的临界点。据Wellsenn 的调研和跟踪统计,2025年全球AI智能眼镜出货量或达550万副,较2024年增长135%。其中,雷朋与Meta合作的RayBan Meta正在成为这个行业的领导品牌,拍摄和通话功能则成为2025年人们体验智能眼镜的主要两个理由,部分智能眼镜还融合了AR能力,而AI大模型的接入将为智能眼镜提供更为丰富的感官体验。
来源:可以打电话的AI眼镜,来源:Meta,Ray-Ban
与手机应用恰好相反,早期AI应用多数是提升生产力(或学习力)的工具,娱乐占比不大,不过去年有一个娱乐方向大红大紫,今年仍将继续,那就是AI陪伴。AI陪伴分为两大方向,一是软件,去年多数是这类,如Character和Talkie;二是硬件,今年则在此方向上蓄势待发,市场上专门给这个方向赋予一个名词:“AI玩具”。
除了提供自然语言对话、情感寄托与情绪价值以外,与软件不同之处,AI玩具对外形和语音功能要求较高,能成为现象级的玩具并不容易。我们仍然在CES2025展会上看到了一些AI玩具里的“潜力股”,可以在今年多加关注,例如仿拉布拉多犬的JENNIE、名为Ropet的情感宠物、挂在包上或腰间的树懒机器人Mirumi、社交机器人Miroka等等。
● 趋势五:持续探索物理AI,或打开人形机器人的潘多拉盒子
每年初的CES(International Consumer Electronics Show)大会,虽然名为“消费类电子”大会,实为整体科技行业新一年的风向标。与2024年的CES相比,今年AI的浓度继续提高,多点开花。
英伟达(NVIDIA)在此次大会上发布了NVIDIA Cosmos,其核心是基础世界模型(World Foundation Model,WFM)。不同于传统的数据采集方法,WFM基于2000万小时的真实世界交互数据,涵盖人类操作、环境、机器人系统和自动驾驶等场景,通过深度学习训练和高精度仿真测试,WFM能够生成逼近真实世界的视频模型,帮助开发者加速构建更加智能化的机器人和自动驾驶系统。此外,开发者还可以利用NVIDIA Omniverse 平台创建符合特定训练需求的3D仿真环境,并与 Cosmos 结合,以优化模型调试和强化学习过程,从而提高机器人或自动驾驶系统在现实场景中的决策准确性和适应能力。
其中,英伟达也专门针对人形机器人推出NVIDIA Isaac GR00T Blueprint,它可帮助开发者生成海量的合成运动数据,用于通用机器人基础模型和数据流水线,以便通过模仿学习来训练人形机器人。英伟达创始人兼CEO黄仁勋在CES2025上表示,“通用机器人领域的'ChatGPT时刻'即将到来”。
黄仁勋在CES2025大会上介绍世界模型(WFM),来源:NVIDIA
的确,2025年我们会看到更多的人形机器人。特斯拉研发的二代人形机器人Optimus计划今年底前量产销售,计划交付数千台;英伟达在下个月的GTC25大会上,有望发布机器人领域布局更新;韩国LG亦宣布2025年进军人形机器人市场,拟推出订阅制AI智能体用作基础模型Q9;挪威的初创公司1X科技则计划在2025年向数千名试点客户推出家用双足机器人Neo。
今年,国产机器人生机勃发的同时也将量产在即。我们看到春晚亮相的宇树机器人Unitree H1,搭载AI驱动全身运动控制技术、多智能体协同规划,高精度3D激光SLAM 自主定位和导航,能够完成全自动走位变队形、抛丢手绢等复杂动作,为春晚的观众带来精彩纷呈的“秧歌舞”表演,宇树机器人是众多国产机器人发展水平的一个缩影。
根据东吴证券的研究,当前双足人形机器人已经成为国内各厂商的“最终方案”,并瞄准三类下游场景—工业、家庭、泛通用(即工业&家庭),其中在工业场景将被率先批量应用,而车企首当其冲。这与国际知名公司特斯拉、英伟达、Figure的布局完全一致,“智能驾驶与人形机器人被认为是具身智能的两个终端应用,在技术底层上具备一定的共同性”。
优必选工业版人形机器人Walker S系列,来源:优必选官网
迈过波澜壮阔的2024年,2025年的人工智能领域,正在以惊人的速度从技术突破迈向全面落地。DeepSeek的崛起不仅为中国在全球AI竞赛中赢得了关键席位,更以“算力平权”重构了产业生态;AI Agent的深化应用标志着数字劳动力时代的真正开启;端侧AI的普及让智能技术从云端走入生活,人工智能正以前所未有的速度改变各行各业的运作方式;而人形机器人技术的突破,正在为物理世界与数字世界的融合推开一扇新的大门。
站在2025年的开端,我们或许正见证着一个技术奇点的临近——在这个充满机遇与挑战的AI浪潮中,技术创新仍是核心驱动力,算力成本的降低、AI应用的深入拓展以及人与AI协作模式的演进,都将在未来几年塑造一个全新的智能社会。而随着中国企业的创新脚步,中国有望成为全球人工智能领域的领导者之一,面对这样的变革,我们亦需清醒地认识到,人工智能的发展离不开国际合作与共同治理,我们既要拥抱AI的机遇,也要思考其带来的伦理、安全与社会影响,以更加开放和负责任的态度迎接人工智能时代的全面到来。